化妆品评价-备案
化妆品/原料功效宣称评价与安全评价-备案检测项目|新规
基于细胞/斑马鱼/离体皮肤/人体功效实验,提供化妆品功效宣称评价与备案、特证备案、原料备案与新原料申报、原料配方筛选验证、毒理安全评价等服务,周期短、成本低、效果直观。
化妆品功效宣称评价-毒理安全评价(细胞/斑马鱼/离体皮肤/人体)
基于细胞/斑马鱼/离体皮肤/人体功效实验,提供化妆品功效宣称评价与备案、特证备案、原料备案与新原料申报、原料配方筛选验证、毒理安全评价等服务,周期短、成本低、效果直观。
功效评价报告 /功效证书 /科技营销 /环特智鱼优检功效检测平台
环特智鱼优检功效检测平台,提供产品功效评价报告,功效证书、卖点视频、严选平台查询、学术营销等一站式CRO服务,为客户打造完整的卖点学术证据链,助力企业做好品控和宣传推广。
皮肤外植体功效评价及研究
皮肤外植体适用于原料端、配方端、产品端功效成分筛选与评价;对化妆品作用的分子靶点和机制进行深入探究;结合皮肤科学需求,提供定制化服务。
利用斑马鱼评价化妆品修护作用
转基因中性粒细胞荧光斑马鱼的中性粒细胞可在荧光显微镜下被明显观察。因此可以通过尾鳍再生速度、伤口附近的中性粒细胞数量评价供试品修复功效。
利用斑马鱼模型评价化妆品祛黑眼圈作用
斑马鱼皮肤中的黑色素调控机制与人类高度保守,并且黑色素的生成速度快,在显微镜下能被肉眼清晰的观察到,通过图像处理技术可以评估护肤产品对黑色素减少的程度。
利用斑马鱼评价化妆品祛痘作用
转基因中性粒细胞荧光斑马鱼的中性粒细胞可在荧光显微镜下被明显观察,因此可以通过实时观察斑马鱼皮肤的中性粒细胞数量评价供试品的祛痘功效。
利用体外测评方法评价化妆品抗糖化功效
利用葡萄糖与牛血清蛋白在体外发生糖化反应生AGEs的原理进行造模处理,加入抗糖化产品后通过荧光定量方法评价其抑制AGEs的水平来反映其抗糖化功效。
利用斑马鱼评价化妆品抗衰老功效
将斑马鱼分成两组,分别是正常对照组和供试品组。孵育24h小时后,通过血流分析仪分析观察各组斑马鱼的血流速度,以血流速度的增加量评价受试化妆品改善微循环功效。
利用永生化表皮细胞评价化妆品蓝光防护功效
采用蓝光光源照射人永生化角质形成细胞HaCaT,会出现一定的细胞毒性,抑制细胞增殖。蓝光波长比紫外线长,具有较强的穿透力,能够穿透皮肤表皮抵达真皮层...
利用斑马鱼评价化妆品温和效果
斑马鱼与人类具有非常相似的免疫系统,利用转基因荧光标记技术将斑马鱼体内中性粒细胞进行荧光标记,当供试品接触到斑马鱼皮肤时,通过观察中性粒细胞的迁移、聚集数量可以反应其是否温和。
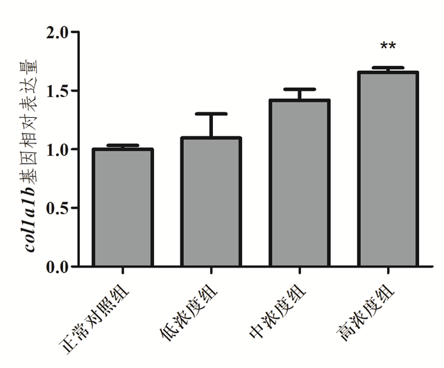
利用斑马鱼评价供试品抗皱功效
皮肤皱纹的出现与胶原蛋白的正常合成和表达密切相关。通过检测斑马鱼胶原蛋白基因RNA的相对表达量可以反映供试品的抗皱功效。
利用斑马鱼评价化妆品紧致功效
斑马鱼具有与人高度保守的调控弹性蛋白的基因,通过检测斑马鱼弹性蛋白基因RNA的相对表达量可以反映护肤产品的紧致功效。
斑马鱼模型评价婴幼儿护肤品的安全性
婴幼儿护肤品关注的焦点是产品的安全性。斑马鱼与人类的皮肤结构和功能高度相似,可以用于评价婴幼儿护肤产品的安全性。测试方法参考OECD236。
利用斑马鱼评价孕妇用化妆品的安全性
孕妇用化妆品的潜在安全性区别于常规化妆品主要体现在对化妆品的生殖毒性方面,利用斑马鱼技术可以对孕妇用化妆品进行安全性评价,主要参照GBT 35517-2017评价方法。
利用斑马鱼模型评价化妆品抗氧化作用
人体皮肤逐渐衰老是活性氧自由基对皮肤的长期氧化作用,具有抗氧化活性的化妆品能够清除皮肤表面自由基,通过斑马鱼技术可以有效评价化妆品及其原料清除自由基的能力。
利用斑马鱼模型评价化妆品美白作用
人体皮肤变黑的主要原因是酪氨酸酶的存在促进了黑色素的合成和黑色素基因的表达,而在斑马鱼皮肤上也有类似的表达过程,因此,可以通过斑马鱼技术有效评价化妆品的美白功效。
利用斑马鱼模型评价化妆品祛斑作用
人体皮肤出现的雀斑、日晒斑、黄褐斑等色斑。祛斑功效实质上是对黑色素的清除作用。通过班斑马鱼技术能简洁而有效的评价化妆品的祛斑功效。
利用斑马鱼模型评价化妆品伤口愈合功效
产生皮肤组织的结构性破坏,斑马鱼尾鳍具有自我再生功能,通过对尾鳍再生速度的观察可以评价受试物促进组织再生功效。
利用斑马鱼模型评价化妆品提亮肤色功效
肤色暗沉是体内外多种因素共同作用的结果,由活性氧自由基引起的氧化应激反应,导致皮肤色素沉着,看上去黯淡无光。通过斑马鱼技术能有效评价化妆品提亮肤色的功效作用。