【评价原理】
斑马鱼成鱼体长5 cm左右,其胚胎透明,在受精72 h后完成孵化,并在孵出后3个月内性成熟。成年斑马鱼的繁殖周期短(一般7 d左右),若条件适宜,成年雌性斑马鱼可定期产卵(每次200~300个)。在斑马鱼的早期胚胎及幼体的发育过程中,尚无性别分化,原始性腺都是相同的且具有双向发育的潜能,易受环境(温度、光照、pH值等)因素的影响而改变其遗传性别。
对于雌性斑马鱼而言,产卵量是评价其繁殖力的常用生物指标,它与鱼类繁殖过程中的多个环节(卵子发育、雌雄交配行为、性激素刺激等)相关,并对环境化学物质具有高敏感性,能直接反应鱼类繁殖力变化。环境化学物质除了直接对亲代斑马鱼的生殖系统造成损害,还可能对其子代的正常生长发育。
卵黄蛋白原在斑马鱼雌鱼成熟过程中发挥重要作用,成熟雌鱼在体内17β-雌二醇的刺激下,由肝脏合成的VTG经过血液到达卵巢并加工成卵黄蛋白,促进性腺发育。幼鱼和雄鱼在正常情况下不合成VTG,但在受到雌激素和类雌激素刺激时能合成VTG,导致鱼体内VTG浓度升高,出现雌性体征。
鱼类的性腺发育和繁殖行为受到下丘脑-垂体-性腺轴(HPG 轴)的调控。下丘脑分泌促性腺激素释放激素(GnRH),其作用于脑垂体,刺激其分泌促黄体生成素(LH)和促卵泡素(FSH),这两种激素通过血液循环与相应的受体结合后作用于性腺,刺激性腺产生睾酮(T)、17β-雌二醇(E2)和 11-酮基睾酮(11-KT) 等类固醇激素,进而促进精子和卵子的发育和成熟。
【实验方案】
我们将受测试斑马鱼分成两组,进行21天的暴露实验,分别是正常对照组和服用供试品组(供试品通过溶解到养鱼用水中或灌胃的方式摄入到斑马鱼体内)。
服用一段时间供试品后,观察每次的产卵量、受精率及孵化率;对受精卵进行子一代发育毒性与致畸性评价。在实验终点取斑马鱼的组织,检测卵黄蛋白原(VTG)含量及相关基因表达,并对性腺进行病理组织学检查,指标主要包括:睾丸卵母细胞、睾丸间质细胞增生、卵黄形成减少、精原细胞和滤泡增生;其他性腺损伤包括:卵母细胞闭锁、睾丸变性和分期改变。
【结果展示】

图1. 供试品对斑马鱼体内卵黄蛋白原(VTG)的影响
可以看到,供试品组VTG有下降趋势,但与正常对照组比较没有显著性差异。

图2. 斑马鱼发育毒性与致畸性表型图
可以看到,供试品组斑马鱼诱发眼睛变小,下颌异常,心血管毒性等。

图3. 斑马鱼性腺病理切片
可以看到,供试品组斑马鱼精巢精子量变少,卵巢中卵母细胞体积变小、数量减少 。

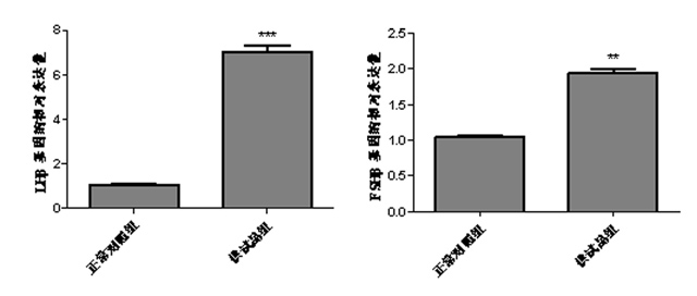
图4. 供试品对斑马鱼基因表达的影响
可以看到,供试品组FSHβ、LHβ基因相较于正常对照组显著表达。
【评价结论】
1.经过各组斑马鱼的对比实验,摄入供试品组的斑马鱼体内VTG有下降趋势,子一代斑马鱼有致畸性,性腺病理切片有不同程度的异常,与性腺发育和繁殖行为相关基因的上调。
2.本实验证实了该供试品对斑马鱼有生殖毒性。
上一条:利用斑马鱼模型评价心血管毒性
下一条:利用斑马鱼模型评价氧化应激
严正声明:以上内容所涉及的核心知识产权归杭州环特生物科技股份有限公司所有。任意第三方机构或个人在未经授权的前提下抄袭、剽窃、恶意传播均属侵害我司正当权益的行为,我司不排除诉诸一切法律手段维护自身合法权益。